HX-902
siwaxin
2931900090
1.Brand Name&CAS Number
Grade | Company | CAS No. |
A-2100 | 3179-76-8 | |
KBE-902 | Shin-Etsu Chemical | |
Z-6015 | Dow Inc | |
1505 | Evonik |
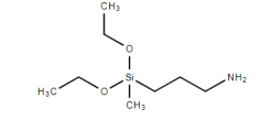
2.Chemical Name
3-Aminopropylmethyldiethoxysilane
3.Molecular Formula

4.Properties
This product is a colorless transparent liquid,b.p85-88°C,Flash Point 85°C。Soluble in benzene, ethyl acetate, reaction with water.
5.Technical Spec.
Appearance | Colorless transparent liquid | |
Aaasy(%)≥ | 98.0 | 97.0 |
Density(ρ25)g/cm3 | 0.899~0.919 | |
Refractive index(nD25) | 1.4135~1.4335 | |
6.Application
This product can increase the bonding strength of organic materials to inorganic substrate materials.It is a universal viscosifier.Suitable for most organic and inorganic materials.Used as raw material for amino modified silicone oil and a variety of silicone super soft finishing agents.
7.Packing&Storage
In plastic drum ,steel drum or IBC drum,W.t 5KG,10KG,25KG,200KG,1000KG/drum
packing specifications.Closed tight in cool,dry and draught place,avoid dampness and
water,away from fire and heat source.
1.Brand Name&CAS Number
Grade | Company | CAS No. |
A-2100 | 3179-76-8 | |
KBE-902 | Shin-Etsu Chemical | |
Z-6015 | Dow Inc | |
1505 | Evonik |
2.Chemical Name
3-Aminopropylmethyldiethoxysilane
3.Molecular Formula

4.Properties
This product is a colorless transparent liquid,b.p85-88°C,Flash Point 85°C。Soluble in benzene, ethyl acetate, reaction with water.
5.Technical Spec.
Appearance | Colorless transparent liquid | |
Aaasy(%)≥ | 98.0 | 97.0 |
Density(ρ25)g/cm3 | 0.899~0.919 | |
Refractive index(nD25) | 1.4135~1.4335 | |
6.Application
This product can increase the bonding strength of organic materials to inorganic substrate materials.It is a universal viscosifier.Suitable for most organic and inorganic materials.Used as raw material for amino modified silicone oil and a variety of silicone super soft finishing agents.
7.Packing&Storage
In plastic drum ,steel drum or IBC drum,W.t 5KG,10KG,25KG,200KG,1000KG/drum
packing specifications.Closed tight in cool,dry and draught place,avoid dampness and
water,away from fire and heat source.
